VERSATEX & VAR CONTROLS

Your Text Here

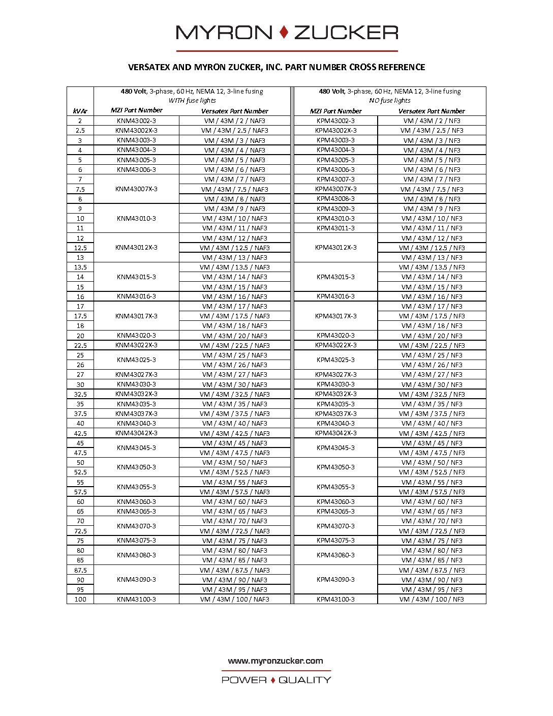
MZI can cross reference VAR Controls and Versatex part numbers to current MZI part numbers.  Please contact an MZI engineer further assistance.

[fusion_widget_area name=”avada-blog-sidebar” title_size=”” title_color=”” background_color=”” padding_top=”” padding_right=”” padding_bottom=”” padding_left=”” hide_on_mobile=”small-visibility,medium-visibility,large-visibility” class=”” id=”” /]
[fusion_widget_area name=”avada-slidingbar-widget-2″ title_size=”” title_color=”” background_color=”” padding_top=”” padding_right=”” padding_bottom=”” padding_left=”” hide_on_mobile=”small-visibility,medium-visibility,large-visibility” class=”” id=”” /]